The Challenge
by Rie Gaku (St. Andrew’s University) and Soemon Takakuwa (Chuo University)
As presented at the 2018 Winter Simulation Conference
Shuttle Vehicle-type Mini-load automated storage and retrieval systems (SVM-AS/RSs) allow for rapid storage and retrieval, enhancing the buffering function of flexible storage and sorting operations. The systems considered in this study consist of lightweight shuttle vehicles installed at each storage level, storing and retrieving lifters, layer conveyors connecting lifters and shuttle vehicles, and incoming and outgoing aisle conveyors. First, a method is demonstrated whereby it can be determined whether lifters or shuttle vehicles are the bottlenecks in a designated system. It is then shown how simulation can be used to precisely analyze the performance of different layouts, taking storage-location allocation rules and operation priorities into consideration. This work shows that key performance indicators derived from the results of such a simulation analysis are valuable tools for the selection of the most effective and economical set of specifications for an SVM-AS/RS under given conditions of operation priorities.
Introduction
Modern logistics facilities are not only used for the storage of raw material, parts, and end products but also play a buffering role that enables flexible storage and sorting prior to shipping, picking, sorting, palletizing, or merging. Recently, Shuttle Vehicle-type Mini-load automated storage and retrieval systems (SVMAS/RSs) have been utilized in the above-mentioned fields to rapidly store and retrieve inventory buffers of cartons, totes, and trays by group or by sequence and so to meet the customer need for faster delivery services.
Performance analysis of an automated storage and retrieval system (AS/RS) is a complex challenge for logistics managers operating in a dynamic logistics environment (Gaku and Takakuwa 2017). To improve system performance, requirements for dynamic AS/RSs such as system configuration, travel time estimation, storage assignment, dwell-point location, and request sequencing, are increasing and need to be developed to overcome finite planning horizons (Roodbergen and Vis 2009). Simulation offers a valuable means of modeling the performance of such a system precisely and realistically (Takakuwa 1989; Takakuwa 1993).
Simulations are commonly used as decision-making tools for logistics operations in an effort to ensure that continuous operations are maintained. Simulation modeling and analysis of large-scale AS/RS operations have been the focus of numerous studies (Takakuwa 1989; Takakuwa 1994; Takakuwa 1995). Ning et al. (2016) emphasized that simplifications are not required in simulation models of rack design in a multi-elevator shuttle-based storage and retrieval system. A practical methodology to characterize a dynamic system with multiple lifts and shuttles is presented to resolve the scheduling problem of lifts, i.e., which lift is going to handle which (storage or retrieval) request, and in which order (Carlo and Vis 2012). Takakuwa (1993), meanwhile, conducted cost-effectiveness simulation optimization analyses on the basis of the operational specifications of a looped-truck automated guided vehicle (AGV) system and later Takakuwa (1996) proposed a module-based modeling approach for generating simulation programs for a complex and large-scale AS/RS system. Kuo et al. (2007) used a computationally efficient cycle time model to estimate vehicle utilization of unit load AVS/RSs using autonomous vehicle technology with a view to identifying the range of design profiles warranting more extensive simulation-based evaluation and validation. Goozen et al. (2016) developed scheduling heuristics to assign tasks to shuttles so as to minimize the number of out-of-sequence occurrences and maximize the throughput capacity of a full roaming-shuttle system (FRS). An FRS is, however, generally deemed more suitable for slow-moving products in retail and wholesale distribution centers. Throughput performance calculations are performed for an AS/RS by implementing a variety of warehouse designs in practice considering the operating characteristics (Lerher et al. 2015; Lerher et al. 2016). Both studies emphasized that simulation can help warehouse designers to analyze the efficiency of a layout with regards to the kinematic properties of AS/RSs.
Many possible layouts must be evaluated and selected when designing a large-scale SVM-AS/RSs. Numerous parameters must be decided upon, such as the specifications of the SVM-AS/RS, the number of shuttle vehicles, and the number of incoming/outgoing lifters, taking into account the priority to be given to different operations based on the frequency of handling items in different ways. It is essential to model the different solutions and perform simulation experiments on a number of models so as to ensure that continuous logistics operations are maintained. This paper goes beyond existing studies by evaluating the efficiency and effectiveness of SVM-AS/RSs under differently designed layouts through simulations that analyze the dynamic performance of the systems and take operation priorities into consideration. Such simulation results can be used to aid decision-making in the selection of appropriate specifications for complex and dynamic SVM-AS/RSs from both an efficiency and economic standpoint.
This paper is organized as follows: Section 2 introduces the SVM-RS/AS systems with their material flows and storage allocation rules. Section 3 describes the simulation analysis with the model logic, applied parameters and key results, leading to a cost and efficiency comparison for alternative layouts. A summary with conclusions is given in Section 4.
The Solution
Shuttle vehicle-type mini-load as/rs systems
General View of SVM-AS/RSs
A general view of the SVM-AS/RSs is shown in Figure 1. The SVM-AS/RSs considered in this study consist of various subsystems: a shuttle vehicle installed on each level, storing and retrieving lifters, layer conveyors connecting lifters and shuttle vehicles, and incoming and outgoing aisle conveyors. Storage and retrieval are performed to/from the racks by lightweight shuttle vehicles that can move only in the horizontal direction. The racks are linked to the storing and retrieving lifters by the layer conveyors. Outgoing aisle conveyors are linked to the checking and packing area.
Operational Flow of SVM-AS/RSs
When an incoming mini-load arrives on an incoming aisle conveyor, it is transferred to a layer conveyor by a storing lifter. If no lifter is available at that time, the item will stop and wait at the end of the incoming aisle conveyor until a storing lifter becomes idle. Once on the layer conveyor, the mini-load moves to its destination rack, onto which it is transferred by a lightweight shuttle vehicle. In the case of an outgoing mini-load, the load is picked from its rack by a lightweight shuttle vehicle, travels along a layer conveyor, and is then transferred to the outgoing aisle conveyor by a retrieving lifter.
Operation priorities are an important consideration for the efficient use of the lightweight shuttle vehicles and storing and retrieving lifters. In general, storage operations have a higher priority than retrieving operations. This means that incoming mini-loads are given preferential treatment over outgoing mini-loads. Alternatively, the operations can alternate between retrieval and storage operations cyclically.
Storage Location Allocation Rules for Incoming and Outgoing Loads
The storage-location allocation rule is an essential factor to consider when aiming to provide flexible buffering for rapid storage and sorting operations with SVM-AS/RSs. There are two general storagelocation allocation rules in SVM-AS/RSs, and which rule is appropriate depends on the relative frequency of inbound and outbound operations. The first, the “Priority Allocation Rule,” is shown in Figure 2. This is most appropriate when outgoing operations are carried out in a short time window. Storage locations close to the layer conveyors are allocated and prioritized for incoming loads so as to minimize the time required for outgoing transfer. The other option is to randomly assign storage locations from the available locations among the various levels. This rule, known as the “Random Allocation Rule Based on Level Balance”, is used for the purposes of this study and in the simulation experiments herein.
Simulation analysis
Problem Statement
Many parameters must be considered when designing large-scale SVM-AS/RSs. The efficiency of the system depends on specifications such as the number and size of the system components, i.e., lightweight shuttle vehicles, storing and retrieving lifters, layer conveyors connecting lifters and shuttle vehicles, and incoming and outgoing aisle conveyors. These parameters must be decided before the start of operations to ensure continuous logistics operation.
To demonstrate this process, a simulation analysis is run on a sample set of candidate SVM-AS/RSs. There are two steps to determine appropriate SVM-AS/RS specifications via simulation analysis. The first is to specify the overall layout. This study defines five possible layouts meeting the condition of requiring at least 500 racks, as follows:
Type A: bank: 2, bay: 65, level: 4 = 520 (racks)
Type B: bank: 2, bay: 50, level: 5 = 500 (racks)
Type C: bank: 2, bay: 45, level: 6 = 540 (racks)
Type D: bank: 2, bay: 40, level: 7 = 560 (racks)
Type E: bank: 2, bay: 35, level: 8 = 560 (racks)
The second step is to determine the more detailed specifications of the SVM-AS/RSs. These include the number and buffer size of incoming and outgoing layer conveyors and the number of shuttle vehicles. A particular challenge at this stage is to determine the optimal or reasonable number of shuttle vehicles to be stationed on each level to carry the expected number of items between the lifters and the handling racks from both an efficiency and economic standpoint. Based on the frequency of item handling and the operational priorities, the sample parameters listed in Table 1 are used as the experimental conditions for the simulation experiments for the five types of SVM-AS/RS, Type A to Type E.
Simulation Logic
A simulation model of the AS/RS operations of SVM-AS/RSs was created using the Simio simulation package (Kelton et al. 2017). This study considers two essential types of material-flow processes typically performed by SVM-AS/RSs, i.e., incoming and outgoing, as shown in Figure 3. Each process flow contains a sequence of activities performed by the lightweight shuttle vehicles installed on each level, storing and retrieving lifters, layer conveyors, and incoming and outgoing aisle conveyors. The essential process flows are identified so that the materials handling operation flows of the SVM-AS/RSs can be characterized.
In an SVM-AS/RS, both lightweight shuttle vehicles and storing and retrieving lifters must be handled in accordance with operation priority rules. Unlike traditional AS/RSs, in SVM-AS/RSs items are held as inventory inside the warehouse for a relatively short period of time. This study considers two general strategies for operations priority in the simulation experiments. In one, “Storage Operations First” (SOF), incoming mini-loads are given preferential treatment over outgoing mini-loads. Retrieving operations are, therefore, started only once the incoming operations are finished. In the other, “Alternate Operations” (AO), operations can alternate between retrieval and storage operations cyclically.
Simulation Parameters
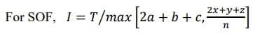
Before performing simulation analyses, both the maximum number of outgoing retrieving/incoming storing loads per hour, i.e., I (units), and the bottlenecks in accordance with the operation priority rules are estimated by the following two equations:


where
a: one-way moving time of a storing/retrieving lifter from the base position to the halfway point (s)
b: loading time onto a lifter (s)
c: unloading time from a lifter (s)
n: number of shuttle vehicles (units)
T: operation time (e.g., 3,600 s)
x: one-way moving time of a shuttle vehicle from the base position to the halfway point (s)
y: loading time onto a shuttle vehicle (s)
z: unloading time from a shuttle vehicle (s)
Equations (1) and (2) are applied for the AO and SOF rules, respectively. The term (2a+b+c) in the denominators of the two equations is the expected duration of one round-trip by a lifter and a shuttle vehicle under the two operation priority rules. The term (2x+y+z) is the expected round-trip time for a shuttle vehicle, and n units of shuttle vehicles are used for conveying both outgoing retrieving/incoming storing loads. However, the expected overall processing time for one shuttle vehicle round-trip is different in Equations (1) and (2). According to the AO rule, the expected overall shuttle vehicle processing time is 2(2x+y+z)/n, as shown in Equation (1). In the denominator of Equation (2), because retrieving operations are started upon completion of incoming load storage, the expected overall processing time is (2x+y+z)/n. According to the above two equations, the bottleneck of the AS-RS systems in this study will be either a lifter or shuttle vehicle depending on the specification of the AS/RS system. The expected cycle time is the denominator of Equation (1) or (2).
The times in lifter and shuttle vehicles used for both Equations (1) and (2) are measured from a real AS-RS system via a time study. Selected sample data of the five major possible layouts are shown in Table 2, which provides insights into the bottlenecks in AS/RS systems with different design specifications. Shuttle vehicles are the bottlenecks for type A under the SOF rule and for type A, B, and C under the AO rule. Conversely, lifters are the bottlenecks for types B–E under the SOF rule and for types D and E under the AO rule. The shaded cells represent the overall processing time of shuttle vehicles with different operation priority rules where the bottlenecks are shuttle vehicles.
Table 2: Bottleneck in each AS-RS system

Comparison of Key Performance Indicators for Alternative Layouts
Simulation is a powerful tool for analyzing the performance of a large-scale AS/RS, independent of how large or complicated the system is. Thirty independent simulation experiments were run under each operation priority rule for each of the layout types described in Section 3.3. Certain key performance indicators (KPIs) were collected from the outputs of the simulation models and compared:
- Total flow time for storing and retrieving operations under both SOF and AO rules
- Average cycle time for both storing and retrieving operations under the SOF rule
The above-mentioned KPIs can be used as measures of the performance of the designated system layouts so as to evaluate the optimal specifications to be used under each operation priority rule. Figure 4 shows the 95% confidence interval on the average total flow time for storing and retrieving operations under the AO rule in the simulations. Type C can be seen to be the most efficient of the five layout types in this regard.
Figure 5, on the other hand, plots the 95% confidence interval of the average total flow time for storing and retrieving operations under the SOF rule in the simulations. This shows that type B has the shortest average flow time of the five alternatives under this rule.
The cycle time for both storing and retrieving operations as obtained from the simulations is of use when considering methods for enhancing customer satisfaction by shortening the lead time from the order of merchandize to delivery to a customer. The results regarding cycle time for both storing and retrieving operations under the SOF rule are shown in Figures 6 and 7. It can be seen that type B is the most efficient of the five layout types. The variability in cycle time between the different layouts confirms that this is a valuable performance measure for evaluating the efficiency of delivery to customers in a dynamic logistics environment. It can be additionally seen that Equation (2) provides a preliminary insight into the cycle time of operations, as it gives results that are close to those of the simulation analysis: the results of the overall processing time of lifters with SOF rules for types B through E in Table 3 are 3.93, 4.27, 4.61, and 4.95, very close to the values seen in the simulation results in Figures 6 and Figure 7.
Cost and Efficiency Comparison for Alternative Layouts
Having examined and analyzed the candidate SVM-AS/RS layouts, it is necessary to determine the optimum system based on an economic analysis of the alternatives. Cost-effectiveness analysis was used to compare the costs associated with the different system layouts considered by this study. When performing cost comparison among alternatives, it is necessary to collect the related cost information: sample data on (1) initial cost; (2) annual maintenance cost; (3) salvage value; (4) service life; (5) uniform end-of-year annual cost (unacost). An annual interest rate of 10% is selected for this case. These data are shown in Table 3.
Figure 8 shows both the total flow time for storing and retrieving operations and unacost for the alternative layouts. From an economic standpoint, both Table 3 and Figure 8 show Type A to be the most economical alternative. From an efficiency standpoint, however, the total flow times for Types B through E are lower than for A. As these four types have very similar total flow times under both the AO and SOF rules, a factorial analysis of variance was performed to better determine their relative efficiency. In this case, it can be concluded that the layout type does affect the total flow time for layout Type B through E; Type C and Type B could be regarded as the most effective under the AO and SOF rules respectively. However, in case that the difference of efficiency is small, it should be emphasized that cost-effectiveness analysis, that is, trade-off between efficiency and cost might be applied for SVM-AS/RSs management.
Table 3: Comparisons for cost-effectiveness analysis.

The Business Impact
Conclusion
This paper shows how simulation results can provide valuable support to decision-making on the design specifications for complex and dynamic SVM-AS/RSs. First, a method for identifying whether lifters or shuttle vehicles represent the bottleneck in different layout designs is proposed. It is then demonstrated how simulation experiments can be performed to examine the dynamic performance of different layouts, taking operations priority into consideration. Total flow time and the cycle time under different operation priority rules are highlighted as tools for discriminating between different system design specifications. Efficiency and installation and operation cost analyses can then be performed, providing an additional aid to better decision-making regarding the layout of alternative AS/RS designs. The proposed procedure is applied to a sample case in order to confirm its effectiveness.
Acknowledgments
This research is supported by Grant-in-Aid for Young Scientists (B) of the Japan Society for the Promotion of Science (JSPS) (Grant Number: 17K13801).
Author biographies
RIE GAKU is an Associate Professor at the Graduate School of Business Administration at St. Andrew’s University, Osaka, Japan. She received her M. Sc. and Ph.D. Degrees in Economics from Nagoya University in 2006 and 2010. Her research interests include demand forecasting using data mining technology and the simulation analysis of manufacturing and logistics systems. Her current research focuses on the optimization of logistics systems. Her email address is r-gaku@andrew.ac.jp.
SOEMON TAKAKUWA is a Professor at the Chuo University and a Professor Emeritus at the Nagoya University in Japan. He received his B.Sc. and M. Sc. degrees in Industrial Engineering from the Nagoya Institute of Technology in 1975 and the Tokyo Institute of Technology in 1977, respectively. He received a Ph.D. in Industrial Engineering from Pennsylvania State University. He also holds a Doctorate of Economics from Nagoya University and holds of a P.E. in Industrial Engineering. He is a corresponding member of the International Academy of Engineering in Russia. His research interests include the optimization of manufacturing and logistics systems, management information systems, and simulation analysis of these systems in the context of hospitals. He has prepared the Japanese editions of Introduction to Simulation using SIMAN, Simulation with ARENA, and Simio and Simulation: Modeling, Analysis, Applications. His email address is takakuwa@indsys.chuo-u.ac.jp.
References
Gaku R. and S. Takakuwa. 2017. “Simulation Modeling of Shuttle Vehicle-type Mini-load AS/RS Systems for E-commerce Industry of Japan”. In Proceedings of the 2017 Winter Simulation Conference, edited by W. K. V. Chan et al., 3174-3183. Piscataway, New Jersey: IEEE.
Goozen, M. P., I. J. Adan, J. W. Heling, and B. Wijngaarden. 2016. “Task Scheduling in a Full Roaming Shuttle System”. In Proceedings of the 2016 Winter Simulation Conference, edited by G. W. Evans et al., 2844-2854. Piscataway, New Jersey: IEEE.
Héctor J. Carlo and Iris F. A. Vis. 2012. “Sequencing Dynamic Storage Systems with Multiple Lifts and Shuttles”. International Journal of Production Economics 140(2):844-853.
Kelton, W. D., J. S. Smith, and D. T. Sturrock. 2017. Simio and Simulation: Modeling, Analysis, Applications. 4th ed. Simio LLC.
Kuo, P. H., A. Krishnamurthy, and C. J. Malmborg. 2007. “Design Models for Unit Load Storage and Retrieval Systems Using Autonomous Vehicle Technology and Resource Conserving Storage and Dwell Point Policies”. Applied Mathematical Modelling 31(10):2332–2346
Lerher T., B. Y. Ekren, G. Dukic, and B. Rosi. 2015. “Travel Time Model for Shuttle-based Storage and Retrieval Systems”. International Journal of Advanced Manufacturing Technology 78(9-12):1705– 1725.
Lerher T., B. Y. Ekren, Z. Sari, and B. Rosi. 2016. “Method for Evaluating the Throughput Performance of Shuttle Storage and Retrieval Systems”. Technical Gazette 23(3):715-723.
Ning, Z., L. Lei, Z. Saipeng, and G. Lodewijks. 2016. “An Efficient Simulation Model for Rack Design in Multi-elevator Shuttle-based Storage and Retrieval System”. Simulation Modelling Practice and Theory 67:100-116
Roodbergen K. J. and I. F. A. Vis. 2009. “A Survey of Literature on Automated Storage and Retrieval Systems”. European Journal of Operational Research 194(2):343-362.
Takakuwa, S. 1989. “Module Modeling and Economic Optimization for Large-scale AS/RS”. In Proceedings of the 1989 Winter Simulation Conference, edited by E. A. MacNair et al., 795-801. Piscataway, New Jersey: IEEE.
Takakuwa, S. 1993. “Design and Cost-effectiveness Analysis of Large-scale AS/RS-AGV Systems”. In Proceedings of the 1993 Winter Simulation Conference, edited by G. W. Evans et al., 851-856. Piscataway, New Jersey: IEEE.
Takakuwa, S. 1994. “Precise Modeling and Analysis of Large-scale AS/RS”. In Proceedings of the 1994 Winter Simulation Conference, edited by J. D. Tew et al., 1001-1007. Piscataway, New Jersey: IEEE.
Takakuwa, S. 1995. “Flexible Modeling and Analysis of Large-scale AS/RS-AGV Systems”. In Proceedings of the 1995 Winter Simulation Conference, edited by C. Alexopoulos et al., 873-880. Piscataway, New Jersey: IEEE.
Takakuwa, S. 1996. “Efficient Module-based Modeling for a Large-scale AS/RS-AGV System”. In Proceedings of the 1996 Winter Simulation Conference, edited by J. M. Charnes et al., 1141-1148. Piscataway, New Jersey: IEEE.
Applications
- Optimizing Fleet Growth Through Simulation: Penske Truck Leasing’s Capacity Planning Journey
- Optimizing Manufacturing Production Scheduling Through Intelligent Digital Twin Systems
- Manufacturing Simulation Software: How Northrop Grumman Expanded Modeling Capabilities with Simio
- How Dijitalis Saved $1.5 Million with AGV Optimization Simulation in Electronics Manufacturing

