Simulation To Predict Cyclists’ Exposure To Air Pollution Along Bikeways
CUSTOMER
Quinto Centenario, Bogota
The Challenge
by Daniela Azumendi Gongora, Juan Jose Dıaz Baquero, Juan Felipe Franco, and Ivan Mura (Universidad de los Andes)
As presented at the 2018 Winter Simulation Conference
Cyclists riding in polluted urban environments may be exposed to unhealthy conditions. Therefore, the design process of bikeway routes should take into account the exposure of cyclists to air pollutants. Riding a bicycle is a common way to commute in Bogota, a highly polluted city. ´ Quinto Centenario is a 25-km bikeway, to be built in the coming years. This study aims at producing estimates for Quinto Centenario users exposure to particulate matter. We simulated the movement of bikers along the planned route, and we used air quality data collected by a monitoring network to estimate the pollution concentration bikers will be exposed to. Bikeway traffic estimates were obtained from official city surveys, which we analyzed to determine origin/destination matrices for bike trips and trip duration distributions. The output of simulation is captured by a spreadsheet that computes bikers’ exposure for any path along the bikeway.
Introduction
Bogota, the capital city of Colombia, is the Latin American city with the largest biking infrastructure, ´ which in 2017 accounted for over 476 Km of bicycle paths. The development plan proposed by the city government of Bogota, for the period between 2016 and 2019, includes the construction of 120 km of new ´ bike routes (Alcald´ıa Bogota 2016 ´ ), with the objective of doubling the percentage of trips that use the bike modality, from the current 5% to 10%.
Quinto Centenario bikeway (QC) is the longest bike path proposed in the development plan. This project, which is planned to be fully operational by the 500th anniversary of Bogota in 2038, will epitomize ´ the city vision of sustainable mobility (C40 Cities 2016). QC will traverse the city from north to south with an approximate length of 25 km (C40 Cities 2016), and will impact up to 10 city zones, depending on the final route selection by the city government. It will start operating gradually, and it is expected to cause a 3-year cumulative expected reduction in greenhouse gases emissions of 67,565 mtCO2e between 2018 and 2030, while also improving air quality along the route. Its construction is strategical to foster bicycle use for commuting and for connecting citizens of low, middle, and high-income neighborhoods to their jobs, schools, and other activities (C40 Cities 2016).
The QC is expected to run close to the busiest streets in the capital. Since the proportion of environmentally friendly fuels, in 2015, for the vehicle fleet in Bogota was around 5.0% ( ´ Secretar´ıa de Movilidad Alcald´ıa Mayor de Bogota TPD Ingenier ´ ´ıa 2016), cyclist using QC will likely be exposed to high levels of particulate matter (PM) among other contaminants, as it happens for several other bikeways in the city (Franco et al. 2016). Multiple studies in the literature conclude that the mix of air with the emissions of internal combustion engines is detrimental for health, and that large doses of PM are associated with several diseases (Hoek et al. 2002). The adverse health effects of exposure to air pollution have not been credited to an exact contribution of different compounds or PM fractions (Int Panis et al. 2010). Nevertheless, particles in the PM2.5 range (i.e. radius less than 2.5 µm) are found to cause more damage to health (Pope et al. 2002) than the other fractions of the PM.
Cyclists on QC would be exposed to a permanent emission of pollutants. When performing physical activity, breathing rate can increase from about 15 times up to 40-60 times per minute (ELF 2017). This results in both a higher amount of PM entering the body and in a deeper penetration of the PM in the respiratory system (Hoek et al. 2002). Higher depositions of PM in the lungs increase the risk of suffering the negative effects of pollution (Int Panis et al. 2010), which among others include, cardiovascular, acute respiratory diseases, pneumonia and lung cancer (WHO 2017). Consequently, when evaluating health risks of transport modes (more specifically cycling policies), metrics that estimate exposure, for instance the ventilation rate (The ventilation rate is defined as the volume of gas inhaled in a person’s lungs, per minute) should be also taken into consideration together with pollutant concentrations (Int Panis et al. 2010).
The aim of this study is to determine what would be the exposure to PM2.5 for cyclists using the QC route. This information will be useful to potential QC users, suggesting if and when the use of protective means (such as face masks) is appropriate. As well, it will provide the QC design team with a prediction of the PM exposure along the planned bikeway route, indicating which segments are entailing the highest risks on health, and thus suggesting improvement options.
To estimate exposure, we combine the simulation of QC user movements with the official air quality data collected by the Bogota network of monitoring stations. We developed a user-friendly interface that ´ links the output of the simulation model with the air quality data to estimate the exposure.
The rest of the document is organized as follows. In Section 2 we describe the overall methodological approach and the main data sources we use for assessing exposure. Then, in Section 3 we present the simulation model we build for predicting the sojourn time of cyclists along the bikeway and we detail about the parametrization process. In Section 4 we propose a way to evaluate exposure, which matches the recommendations of international bodies, and in Section 5 we present the results of our models. Conclusions are provided in Section 6.
The Solution
Methodology
Predicting the exposure of cyclists along the bikeway requires combining two distinct types of information, i.e. the amount of time a cyclist spends in each of the segments of the bikeway she uses, and the concentration of PM2.5 she will be exposed to. When joining these two pieces of information is also essential to take into consideration specific aspects of the bikeway user, such as gender and age, which affect the baseline breathing frequency.
To determine the time cyclists spend in the bikeway segments, we apply the methodology in (Banks 2000) to build a simulation model that reproduces their movements. We georeference the planned QC path, and divide it into straight segments that closely approximate the bikeway. The simulation model is parametrized with official data from the Bogota District Secretary of Mobility (SDM). The SDM conducted ´ a randomized survey (Encuesta de Movilidad, EM, hereafter) about bicycle usage in Bogota, covering more ´ than 94% of the area within the scope of the study (Secretar´ıa de Movilidad Alcald´ıa Mayor de Bogota´ TPD Ingenier´ıa 2016). From the EM, we characterize the arrival process, direction, traveled distance and speed of QC users, which we use to generate the characteristics of entities moving along the simulated bikeway. The simulation model output allows predicting the average time users spend in each segment of the QC. To validate the model, we compare the expected simulated sojourn times in the QC with the actual average time cyclists spend in the current network of bicycle paths that surrounds the planned QC route.
To estimate air quality along QC segments, we used the official data provided by the Bogota district ´ Secretary of Environment, which since 1998 has been operating a monitoring network of 13 fixed stations that report hourly data about meteorological conditions and air pollutant (including PM2.5) concentrations. By using a Kriging simulation (Kleijnen 2009) model developed in a previous research (Rojas 2017), the data collected by the monitoring stations is interpolated to obtain the concentration values at any point of Bogota. We assume the outdoor air quality will not have any significant change until the construction of ´ QC.
The simulation output and the PM2.5 concentration allows estimating the exposure of bikeway users, for which we rely on the average daily dose definition provided by the United States Environmental Protection Agency (EPA) (US EPA 1992).
Sumulation model
Simulation models are recognized as effective tools for supporting the effective planning of transport systems (Ziemke et al. 2017). In this section, we fully describe the simulation model we build for predicting the sojourn time of cyclists in the QC, at different times during the day. We clearly list the assumptions of the modeling, then we detail on the parametrization process, and finally on its verification and validation.
This work uses the SIMIO R simulation modeling framework, which supports the object-oriented modeling paradigm, with provisions for process and event driven simulation (Pegden and Sturrock 2010). The selection of this software is justified by its high-level modelling language that will allow future modifications without much effort.
The assumptions our modeling is based on are the following ones:
The demographics of cyclists estimated from the EM data will correctly characterize QC users;\
The origin and destination, as well as speed of trips estimated from the EM data will not change when the QC will be introduced;
The QC segments between reference points used in the model to shape the bikeway will be straight segments.
The QC was modeled using 119 geographical coordinates, which accurately represent the route layout. Cyclists are the entities in the model, and are defined by their origin, speed, destination direction and travel distance. The time horizon for the simulation was a single day, which we selected to represent the average workday.
Simulation Parameters
The bicycle traffic simulation model, depends on having an accurate understanding of the cyclist behavior (Ma and Luo 2016). Thus, the simulation parameters are determined by the data collected from potential users. The district department of mobility in Bogota (SDM) conducted the EM survey between March ´ 15th and August 30th of 2015, on 28,025 individuals from the city and 17 other neighboring municipalities (the citizens of Bogota represented about 87% of the study zone). Data was collected for a region that ´ covers over 94% of the area of interest, and includes interviews conducted in homes and surveys made to cyclists. The survey data allows concluding that men use bicycle 3 times more than women, and among those who use it, the largest population share is aged between 15 and 44 years (Secretar´ıa de Movilidad Alcald´ıa Mayor de Bogota TPD Ingenier ´ ´ıa 2016).
Among the people included in the EM study were 3,649 bicycle path users, who reported time, place of origin and destination of their trips (Secretar´ıa de Movilidad Alcald´ıa Mayor de Bogota TPD Ingenier ´ ´ıa 2016). Out of the 9,260 original bicycle trips recorded, around 13.81% (1,279 trips) originated in the influenced zone. From this selected information, an origin-destination matrix (ODM) was estimated, based on the assumption that bikers using the current system of bikepaths will move to the QC, as it is a dedicated cycling avenue. Also, we do not estimate an increment in the volume of traffic due to population growth or modality changes. The input parameters are divided in 56 profiles, according to trip origin. The profiles match the zonal planning units (UPZ, from the Spanish acronym), which are territorial divisions used by the municipality.
Arrival Process
We created the arrivals to QC according to the spatial distribution and demographics of the UPZ. When a UPZ generates a cyclist, then the model will generate an arrival in the point along the QC route closest to the geographic center of the UPZ.
The time at which cyclists start their trip is obtained from the ODM. Then, we sum up the partial arrival flows from all the UPZs and calculate the hourly rates along the time horizon (24 hours), as shown in figure 1. To verify that the arrivals within each hourly interval among different UPZ were homogeneous, we checked equality of means and variances on each hour among UPZ. The results confirms homogeneity, but since distinct hours have different rates, we model the overall cyclists arrival process using a non-homogeneous Poisson process (NHPP) that depends on the hour of the day (Gallager 2013).
Figure 1: Hourly cyclists arrival rates, as obtained from the EM data
Trip Direction
On a typical workday, most Bogota citizens travel to their works in the early morning, have a break in the ´ middle of the day, and commute back home in the evening hours.
To model these mobility patterns, we divide the time horizon in ranges, with moving direction and starting probabilities changing in these ranges. After evaluating the data, we decided that cyclists mobility behavior can be clustered in three distinct ranges: from midnight to 8 am, from 8am to 3pm and from 3pm to midnight. Bogota exhibits marked differences among city areas as far as their use is concerned: there ´ are zones that are clearly residential and other ones that are predominantly industrial. In the morning, most people start the trips on residential zones and choose the direction to get to a commercial or industrial zone. These patterns in the model entities direction can be appreciated in the ODM matrix.
Trip Length
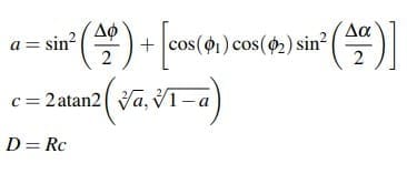
From the geographical coordinates of trip origin and destination, we calculate D, the distance traveled using the set of equations 1-3, which are the haversine formulas. In equation 1, φi denotes the latitude of point i and ∆φ and ∆α the differences in latitude and longitude between the two points. In equation 2, atan2(·,·) is the multi-valued inverse tangent function, and in equation 3, R is Earth radius (6.371km).
By conducting a Kolmogorov-Smirnov fitting test we conclude with a confidence level of 95% that the distribution of the trip distance of the entities can be modelled by a Weibull distribution, with shape 1.1171, and scale 4.9120. These parameters were fitted by maximum likelihood estimation with the fitdistrplus R library. Figure 2 shows the empirical distribution of the trip distance collected data.
Figure 2: Distribution of cyclists’ travel distance.
Entities Speed
The speed of cyclists was modeled using the EM data. Based on results published in the literature (Gates et al. 2006), we set the minimal speed to 3.5 km/h. As for the maximum speed, we took as a reference law 1811 of 2016, which defined the maximum bicycle speed to be 25 km/h (MTC 2016). All speed values in EM survey falling outside this range are classified as atypical and not considered for modelling cyclists’ speed. From the valid data, we obtain an empirical speed distribution, which we use in the simulation model to assign a trip speed to each cyclist.
The results of preliminary simulations indicated that several segments along the route may have large numbers of cyclists sharing the same lane. Thus, even though congestion along bikeways is rare compared to the one generated by vehicular traffic (Dobler and Lammel 2016 ´ ), we decided to model the influence of the segment load on cyclists’ speed.
To account for the effect of bicycle traffic congestion on speed, we consider that, independently on whether or not cyclists would overtake other cyclists, the net effect of congestion would be a speed reduction. By analyzing again the results of preliminary simulations, we estimated the number of people in each segment over time, and we found that 90% of the time, no more than 4 cyclists will be found sharing the same QC segment. Therefore, we decided that only when a cyclist enters a segment and sees more than 4 users his average speed for the segment would decrease. We assume in the model that for each cyclist in a route segment that overcomes the maximum, a cyclist will slow down its speed in that segment by 7.25%. We set this value based on recommendations by experts in bikeway design.
Model Verification and Validation
Following Banks steps in a simulation study, we performed model verification and validation (Banks 2000). For verification, we were concerned on whether the discrete time step we use to check whether an entity has reached its final destination has a significant effect on the length of its trip. To check if the difference between the distance assigned and the true simulated distance traveled is significant, we compared the result obtained by the ODM data set and the results of the model, both with estimated at 95% confidence level. By comparing the confidence intervals, we conclude that the discrete time assumption used in the simulation for controlling the cyclists’ trips has no meaningful implications.
The purpose of validation, is to determine whether the conceptual model is an accurate representation of the real system (Banks 2000). To conduct a model validation, we performed a statistical comparison of the average simulated trip time and of the average trip time, as extracted from the EM data. Notice that the latter information was not used to parametrize the simulation model. We find that a 95% confidence level confidence interval for the average simulated trip time computed with the output of least 75 simulation runs is contained in the 95% confidence level confidence interval of the average trip time obtained from the EM data. Therefore, we conclude that the model is valid.
Estimating exposure
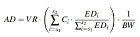
Various definitions of exposure have been proposed. For instance, the United States Environmental Protection Agency (EPA) in its guideline document (US EPA 1992) defines exposure as the chemical concentration at the boundary of the body. Other approaches, for instance the one proposed in the study of exposure by Fajardo and Rojas for the spatial analysis of exposure to PM2.5 in Bogota ( ´ Fajardo and Rojas 2012), consider exposure as the potential dose of contaminant that would inhaled. In line with this extended definition, and according to the EPA Exposure Assessment Tools by Routes – Inhalation (US EPA 2017), we use the following equation to calculate AD, the average dose a cyclist would inhale in a bicycle trip on the QC that goes from segment s1 to segment s2:
where V R is the ventilation rate, measured in m 3min−1 , Ci is the average pollutant concentration on segment i of the bikeway path, measured in µgm−3 , EDi is the average exposure duration, in minutes, and BW is the cyclist body mass, measured in kg
Notice that equation 4 depends on age and gender because the VR varies in relation to those parameters: women breathe significantly more frequently than men do when riding a bicycle (Int Panis et al. 2010). The data used in this study for the VR values are the average ventilation rates, adjusted for body weight while performing activities, within the specific activity categorized by gender and by age (US EPA 2011). It was supposed that cycling in the QC lane will demand a moderate level of physical activity, supported on the results presented by the U.S. EPA in 1985 (US EPA 2011).
The Ci factors in equation 4 are estimated from the official air quality data of Bogota city. In 1998, the ´ city government established the Bogota Monitoring Network of Air Quality (RMCAB, from its Spanish ´ acronym). This network currently consists of 13 automated fixed stations, distributed across the entire city, plus a mobile monitoring station. Each station monitors a set of meteorological variables and of air pollutant concentrations, including PM2.5. The RMCAB data is managed by the Bogota district Secretary ´ of Environment, who validates, stores and provides the data to the general public. We used this official data to predict the concentration of air pollutants across the entire surface area of Bogota, by applying the ´ Kriging method of spatial interpolation. The complete description of this piece of work, which is outside the scope of the research presented in this paper, can be found in (Rojas 2017). The information of a random workday from the paper mentioned above is used to estimate the Ci , the average concentrations of PM2.5 for the modelled segments of the QC, in the different time ranges of interest.
As for the EDi factors in equation 4, i.e. the average time spent in each segment of the bikeway route by a cyclist, we obtain them from simulation results.
The Business Impact
This section presents the results we obtained from our study, divided in three main parts. First, we describe the predictions obtained from the simulation model, then those we get for air quality, and finally the exposure to PM2.5 computed by compounding air quality measurements with the simulated travel times, according to equation 4.
Simulation Results
Figure 3 shows a map of Bogota urban area divided by UPZ, with the currently planned QC route highlighted ´ in orange. The route is divided into 119 segments, each segment modeling a straight portion of the bikeway. As a notation, we number segments consecutively, with segment 1 being the southernmost one and segment 119 the northernmost one. Also, we label with North and South the cyclists’ trips that go towards that direction. Multiple simulation runs were aggregated to compute averages values of the measures of interest and confidence intervals with 95% confidence level.
Figure 3: Planned QC bikeway route and UPZ partitioning.
The simulated average times cyclist spend in segments of the route (the EDi factors of equation 4) are shown in figure 4, in hours, for trips going north and south, and for the three time ranges considered. This average time depends on the number of cyclists that are sharing the segment, their speeds and the length of the segment.
Table 1: Average time (in minutes) across all bikeway segments, per time range.
Figure 4: Average time spent in bikeway segments, in hours, by trip direction and time-range.
First of all, we consistently observe a peak in the first, southernmost segments. This is due to the very high number of trips originating in the area at the very end of the QC, most of which go further south and therefore fall out of the scope of our study. During the morning rush hour (time-range 1, left chart), more people are expected to head towards the north of the city (Secretar´ıa de Movilidad Alcald´ıa Mayor de Bogota TPD Ingenier ´ ´ıa 2016). As our simulation results indicate, segments 80 to 115 show the highest average times. In the second time-range (middle chart), the peaks of the time spent by the cyclist are found in the southern segments. Also, time variability across segments is reduced. The simulation results for the last time-rage (right chart) shows that in the central segments people can spend as much as twice the time spent in other segments of the route. This could be because most of the trips in this time range originate in the south and north of the city, and end in the opposite side of the city, with people accumulating at the middle of the QC route.
Consistently across all time-ranges, people heading south spend more time in each segment than people going the other direction. This is because traffic going south is of higher intensity, and cyclists would have to slow down and stay longer on a segment. The average sojourn time across all segments, reported in table 1 for each time trip direction and time range together with the half-width of the confidence interval, statistically confirms the existence of this difference.
Air Quality Results
From the Kriging interpolated air quality data, we estimate the average PM2.5 concentration for each segment in the QC (the Ci factors in equation 4), which we show in figure 5. The morning and night time ranges are rush hours, and have a higher flow of vehicles on the streets. Accordingly, figure 5 shows that for those time ranges higher concentrations of PM2.5, than those of the noon time-range. For some segments in the southern part of the QC (left part of the curves), the concentration in time range 1 is 2.5 times the concentration in time range 2.
In time range 1, concentrations of PM2.5 are at their maximum levels. We observe that the highest concentrations are estimated for the southernmost segments of the QC, where the largest expected sojourn times are estimated (see figure 4). Even though the intersection between the set of highly polluted and the set of congested segments is of small cardinality, it should raise concerns about the health implications of the high exposure. On the contrary, the comparatively lower levels of PM2.5 on the northern QC segments would compensate in the exposure assessment the long sojourn times of cyclists in time range 1 (see figure 4.a).
In the second time-range, the concentrations of PM2.5 are at their minimum, as the traffic intensity in the city is much lower than in the morning. This is explained based on the normal working shift of the people. Hence, based only on the concentration variable, it could be concluded that the second time-range would the best moment to use the QC.
The last range reports smaller average values than the first one. Even if in the time range 3 a number of trip approximately equal to the one of time range 1 takes place, two distinct factors contribute to determine lower averages of PM2.5 concentration: the first one is the largest spread of the trip starting times, and the second one is the more efficient dispersion of pollutants in the atmosphere later in the day.
Figure 5: PM2.5 concentration along the QC in the three considered time ranges.
Exposure Results
The exposure, calculated according to equation 4, depends on the cyclists characteristics and on the route. Therefore, result can only be computed with reference to specific trips of specific users. Then, to evaluate exposure, we generated random profiles of bikeway users who would move along the QC path. The random generation of profiles is based on the information of the EM survey.
The segment-wise estimated exposure of the random generated mix of cyclists along the route is shown in figure 6). As expected, the behavior of the exposition along the route is very similar to the average time in the segment. However, significant differences exist among profiles, as women and young people will have higher exposure in almost every segment along the route, due to their higher ventilation rates (V R factor in equation 4). To provide a more precise characterization of the differences in the exposure determined by the cyclist profile, we report in table 2 the estimated AD for a set of sampled profiles, assuming that the trip goes along the whole QC.
Figure 6: Estimated exposure along the QC for randomly chosen cyclist profiles, by direction and time-range
The values reported in table 2 help gaining an understanding of the magnitude of the cyclists’ exposure along the route. Studies in the literature show that 24-hour exposure in small cities (Lee et al. 2017) can be around 4.6 µgm−3d −1 . With the levels of pollution in Bogota, a couple of hours along the bikeway ´ would results in a similar amount of inhaled PM2.5.
Table 2: Average exposure PM2.5 for cyclists traveling QC in different time ranges and direction.
Conclusions
In this study, we describe the combined use of a traffic simulation model and air quality data to generate predictions about the exposure of cyclists to PM2.5 along Quinto Centenario, a 25-km long bikeway that will be built in Bogota.
The purpose of the simulation model is to provide estimates for the travel times of users, broken down into the time spent in the distinct segments that compose the modeled bikeway. An essential part of the our work focuses on the parametrization of the simulation model, to ensure the demand of bike trips, their characteristics in terms of origin/destination and speed are indeed capturing the real behavior of bikers in the city. Official data from a comprehensive survey collected by local authorities is used to determine the influence zone of the planned bikeway route, model the trip arrival process, estimate an ODM and speed of trips.
The information about air quality along the bikeway is obtained by the spatial interpolation of the official city data collected by a network of monitoring stations. By combining the spatial distribution of PM2.5 concentrations with the average time cyclists would spent along the bikeway, we can obtain estimates for the cumulative exposure of bikeway users according to the suggested EPA metrics for inhalation along routes.
Knowing a persons gender and age allows calculating exposure in terms of the predicted average amount of PM2.5 that a cyclist would inhale in a bike trip along Quinto Centenario. This information is valuable for both people working on the design of the route and for its users. The first ones can use it to compare the impact on health of different routes options, while the latter ones can make an informed decision about the correct physical barrier they can use to protect themselves from the effects of long-term exposure to pollutants. The preliminary results of this work have been presented to the mobility authority of Bogota.´ We are currently working on the development of an improved simulation model that allows considering a better characterization of the exposure for high altitude cities, as well as on the evaluation of the overall cost-benefit of performing physical activity in polluted environments.
Author biographies
DANIELA AZUMENDI GONGORA ´ is a graduated teacher assistant at Universidad de los Andes, where she supports the Discrete Event Simulation course. She completed a major in industrial engineering and a double program in mechanical engineering in 2018, and is currently a student of the industrial engineering master program at the same university. She is interested in the the applications of operations research to environment protection and social welfare. Her email address is [email protected].
JUAN JOSE D´ ´IAZ BAQUERO is a magister in industrial engineering with double program degree in software engineering and industrial engineering from Universidad de los Andes, with experience in IT consulting, data analytics and visual analytics. Passionate about operations research, mathematical modeling, simulation, programming, climate change and public health. His email address is [email protected].
JUAN FELIPE FRANCO got a chemical engineering degree from Universidad Nacional de Colombia, a master in engineering from Universidad de los Andes, and is currently a Ph.D. student in the engineering program at that same university. He has experience as a teacher, researcher and consultant in topics related to air pollution control, reduction of greenhouse gas emission, urban sustainability management and public policy definition. His email address is [email protected].
IVAN MURA received his first degree in Computer Science and a Ph.D. in computer science engineering from the University of Pisa, Italy, and a master of science in information technology project management from George Washington University School of Business. He is currently an associate professor at the Department of industrial engineering, Universidad de los Andes. His research interests include the mathematical modeling of artificial and living systems, with continuous-deterministic and discrete-stochastic state-based techniques. His e-mail address is [email protected].
References
Alcald´ıa Bogota, Gabinete Distrital Alcald ´ ´ıa Mayor de Bogota D.C. 2016. “Proyecto del Plan de Desarrollo ´ 2016-2020”
Banks, J. 2000. “Introduction to Simulation”. In Proceedings of the 2000 Winter Simulation Conference, 7–18, edited by A.Jones et al., Piscataway, New Jersey:IEEE.
C40 Cities, Finance Facility 2016. “Cycling for all on Bogotas First Resilient Cycle Highway”. Accessed ´ 1 December 2017. https://www.c40cff.org/projects/bogota-quinto-centenario
Dobler, C., and G. Lammel. 2016. “The Multi-Modal Contribution”. ´ The Multi-Agent Transport Simulation MATSim, London, Ubiquity Press:135–140.
ELF, European Lung Foundation 2017. “Your Lungs and Exercise”. Accessed 1 December 2017. http: //www.europeanlung.org/assets/files/en/publications/lungs-and-exercise-en.pdf.
Fajardo, O., and N. Rojas. 2012. “Particulate Matter Exposure of Bicycle Path Users in a High-altitude City”. Atmospheric Environment 46:675–679.
Franco, J., J. Segura, and I. Mura. 2016. “Air Pollution Alongside Bike-Paths in Bogot-Colombia”. Frontiers in Environmental Science 4:77.
Gallager, R. 2013. “Poisson Processes”. Stochastic Processes: Theory for Applications, New York, Cambridge University Press:72–104.
Gates, T., D. Noyce, A. Bill, and N. Van Ee. 2006. “Recommended Walking Speeds for Pedestrian Clearance Timing Based on Pedestrian Characteristics”. Transportation Research Board, 85th Annual Meeting, Washington, D.C
Hoek, G., B. Brunekreef, S. Goldbohm, P. Fischer, and P. Van Den Brandt. 2002. “Association Between Mortality and Indicators of Traffic-related Air Pollution in the Netherlands: A Cohort Study”. The Lancet 360(9341):1203–1209.
Int Panis, L., B. De Geus, G. Vandenbulcke, H. Willems, B. Degraeuwe, N. Bleux, V. Mishra, I. Thomas, and R. Meeusen. 2010. “Exposure to Particulate Matter in Traffic: a Comparison of Cyclists and Car Passengers.”. Atmospheric Environment 44(19):2263–2270.
Kleijnen, J. 2009. “Kriging Metamodeling in Simulation: A Review”. European Journal of Operational Research 192(3):707 – 716
Lee, S., S. Yu, and S. Kim. 2017. “Evaluation of Potential Average Daily Doses (ADDs) of PM2.5 for Homemakers Conducting Pan-Frying Inside Ordinary Homes under Four Ventilation Conditions”. Global Health 14(1):78–88.
Ma, X., and D. Luo. 2016. “Modeling Cyclist Acceleration Process for Bicycle Traffic Simulation using Naturalistic Data”. Transportation Research Part F 40:130–144.
MTC, Ministerio de Transporte de Colombia 2016. “Ley 1811 del 21 de octubre de 2016”. Bogota: Republica ´ de Colombia – Gobierno nacional
Pegden, D., and D. Sturrock. 2010. “Introduction to Simio”. In Proceedings of the 2010 Winter Simulation Conference, WSC ’10, 1–10, edited by B.Johansson et al., Piscataway, New Jersey:IEEE.
Pope, C., R. Burnett, M. Thun, E. Calle, K. Ito, and G. Thurston. 2002. “Lung Cancer, cardiopulmonary Mortality, and Long-term Exposure to Fine Particulate Air Pollution”. JAMA 287(9):1132–1141.
Rojas, N. 2017. “Spatial Analysis of Exposure to PM2.5 in the Urban Area of Bogota Between 2010 and ´ 2016”. Industrial Engineering B.Sc. thesis, Universidad de los Andes.
Secretar´ıa de Movilidad – Alcald´ıa Mayor de Bogota TPD Ingenier ´ ´ıa, Consorcio Transconsult, Infometrika ´ 2016. “Encuesta de Movilidad 2015”. Secretar´ıa de Movilidad, Bogota
US EPA, U.S. Environmental Protection Agency 1992. “Guidelines for Exposure Assessment”. Federal Register 57(104):22888-22938, Washington, DC.
US EPA, United States Environmental Protection Agency 2011. “Exposure Factors Handbook Chapter 6”. EPA ExpoBox, Washington DC.
US EPA, United States Environmental Protection Agency 2017, nov. “Exposure Assessment Tools by Routes – Inhalation”. Last Access: 1 december 2017. https://www.epa.gov/expobox/ exposure-assessment-tools-routes-inhalation
WHO, World Health Organization 2017. “Los Efectos Sobre la Salud”. Departamento de Salud Publica, ´ Medio Ambiente y Determinantes Sociales de la Salud. Accessed 1 december 2017. http://www.who. int/phe/health topics/outdoorair/databases/health impacts/es/.
Ziemke, D., S. Metzler, and K. Nagel. 2017. “Modeling Bicycle Traffic in an Agent-based Transport Simulation”. Procedia Computer Science, (109C):923–928.